Subiecte populare
#
Bonk Eco continues to show strength amid $USELESS rally
#
Pump.fun to raise $1B token sale, traders speculating on airdrop
#
Boop.Fun leading the way with a new launchpad on Solana.

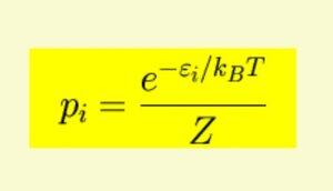
Probability and Statistics
Probabilitate. Statistică. Învățare automată. Știința datelor.
Trimite-mi DM pentru colaborare plătită.
Limită superioară
Clasament
Favorite


